When you want to buy a house, you have to inspect it. After the inspection, you negotiate the price.
A first-time buyer may assume it’s the real estate agent or realtor’s responsibility to negotiate on their behalf.
While that may be true, nobody understands your financial situation as you do. You are in a better position to discuss the price with the seller.
However, it would be best if you were armed with strategies to close the deal on the house without having to spend more money on repairs. Here’s how to negotiate.
Look at the Inspection and See What Items Didn’t Pass the Inspection.
During an inspection, a certified home inspector will check the property for any issues.
They’ll examine the electrical and plumbing job and the overall condition of the home. A home inspection is not like a ‘pass’ or ‘fail’ test.
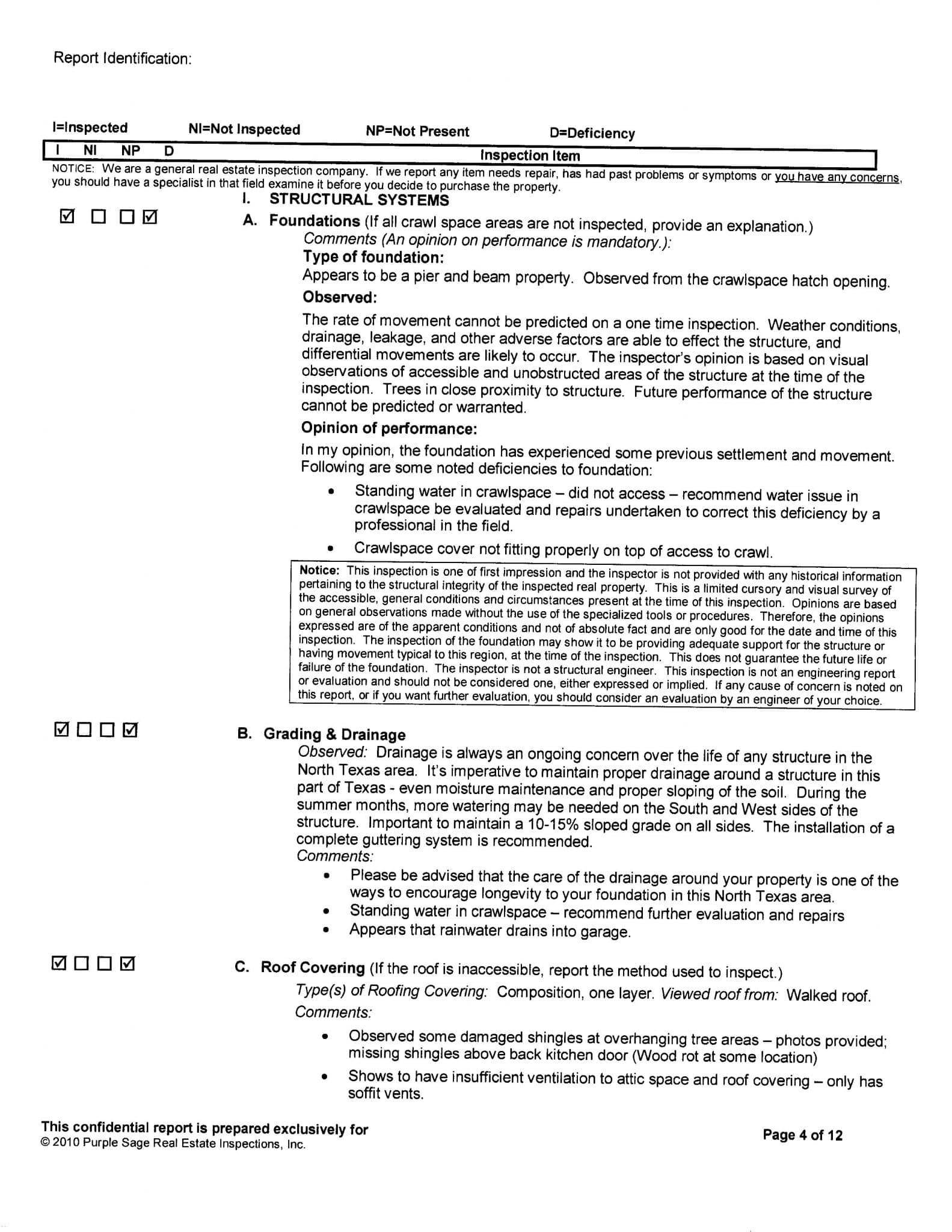
After a thorough inspection, the home inspector may find some issues with the home, such as problems with the foundation, issues with plumbing and pipes, leaks, mold, rotting wood, termite damage, electrical issues, cosmetic cover-ups, etc.
These are just a few items to watch out for!
1. Read Over The Inspection Report
The first thing you want to do is read over the Property Inspection Report. This is the report that you will get from your Home Inspector.
When you get that report you want to comb thru the report and see what the inspector market as wrong with the property.
Once you review this information you will then call up contractors to give you bids on what the cost will be to fix the repairs.

2. Send Over A Quote From The Contractor
You have identified what needs replacement and repair. The foundation issue, for example, will require you to hire ground leveling services.
The plumbing and electrical problems will require a professional to look into them and have them fixed to prevent accidents and unnecessary bills.
It’s highly likely you’ll find a contractor offering home maintenance and repair services under one roof, and they’ll give you a quote.
Forward that quote to the seller to help you negotiate a better price.
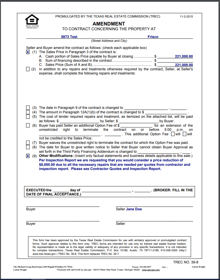
3. Get An Amendment To The Contract And Send It With The Actual Contractor Bids
Contract amendments are common in real estate transactions.
It’s essential to know how the work. An amendment is a document that serves as an additional agreement to a contract.
You can use the amendment to modify the aspects of a contract.
Once the seller has the amendment, they can use it to revise the price of the house downwards before closing.
You can also send over the contractor bids of the repair cost.
4. Make Sure That The Seller Is Motivated
In real estate, there are two types of sellers. A motivated seller, who every buyer wishes to meet, and the unmotivated seller.
A motivated seller is a seller who wants to sell their property as quickly as possible.
A motivated seller is likely hoping to sell the home in a timely fashion and would give you a discount if possible.
A motivated seller could be a seller facing a personal issue, planning to relocate for personal reasons, or they could be at the risk of foreclosure.
5. Extend The Option Period As Long As You Can
The option period is the time frame when the buyer can have the property inspected or cancel the contract for any reason.
The Option Period is negotiated between the seller and the buyer. It becomes active after the two parties have signed a purchase contract.
When negotiating with the seller, have them agree to an Option Period that is 10 days or more.
Some sellers may not agree to that kind of option period but may extend it before the option period expires.
Note: In order for the option period to be valid you must make sure you get the option check or money order over to the seller in the time that is specified by the contract. If you do not do this, you do not have a option period and the contract is binding.
I know my buyer’s termination option ends on Thursday, but at what time?
The termination option ends at 5 p.m. local time to where the property is located. The Texas Real Estate Commission revised its contracts effective January 1, 2016, to implement this time deadline. Per texasrealestate.com on the article of legal-and-ethics/resources/legal-faq/option-period-and-fees/
Can a buyer’s agent just mail the option check to the seller?
Yes, but remember that the buyer must pay the seller within three days after the effective date of the contract. Therefore, overnight delivery may be necessary to ensure that the buyer has an option period. Per texasrealestate.com on the article of legal-and-ethics/resources/legal-faq/option-period-and-fees/
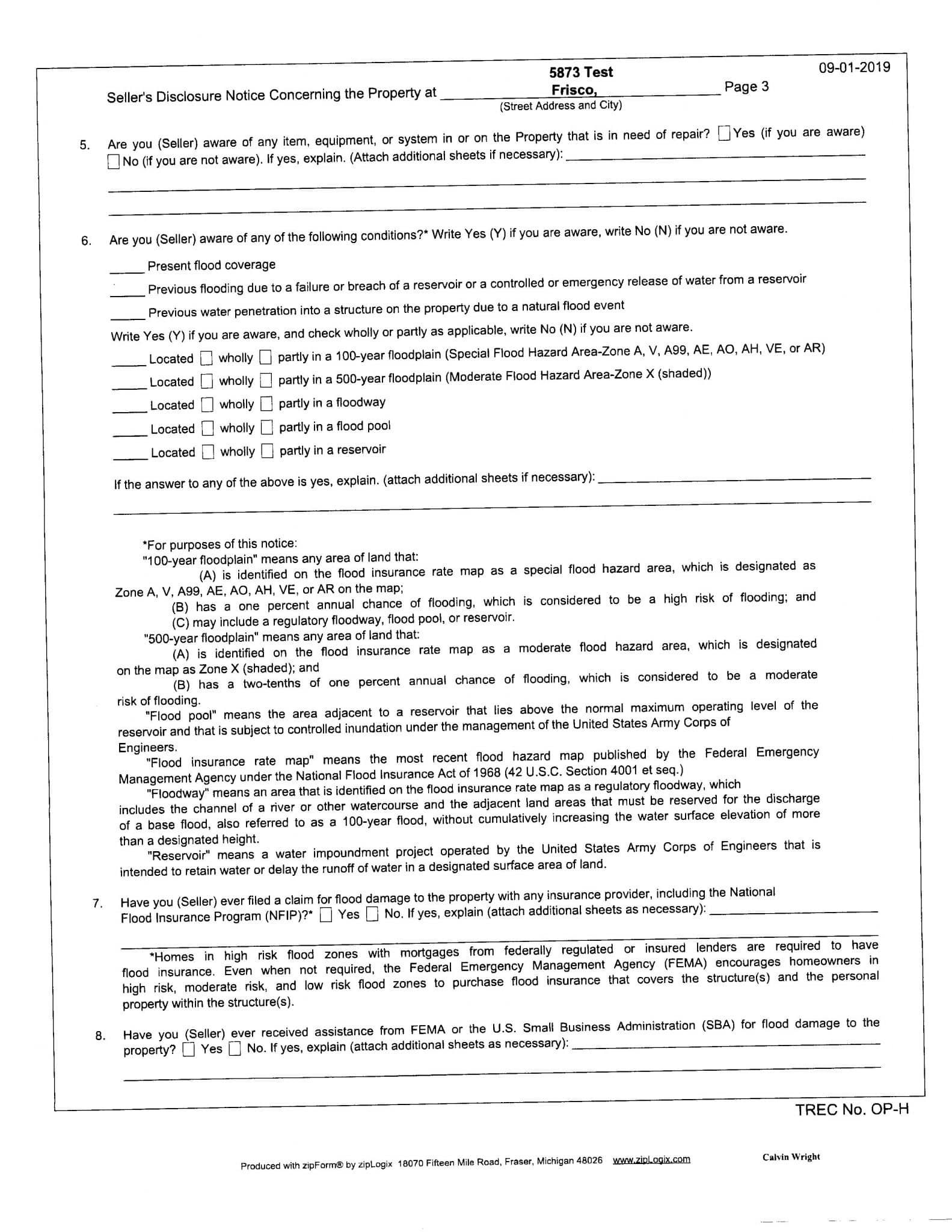
6. Check The Seller’s Disclosure To See If The Non-Working Items Were Listed
Every homeowner selling their house must present a seller’s disclosure report to the buyer. The disclosure should reveal relevant issues like foundation issues that may have occurred within the property, disputes with property lines, insurance claims, and carbon monoxide detectors.
The disclosure should also address serious concerns like flooding, structural issues, pests, missing items, and repairs.
Check the disclosure to see if the non-working items such as heating, water, and sewer were listed.

7. Check To Make Sure That The Days On Market Is Higher
It’s the period between when a seller put the property up for sale, and the time they accepted a conditional offer.
The DOM measures how quickly or slowly property sells. If a house sells slowly, that’s a high DOM.
The high DOM means the market is weak, and it favours the buyer.
A home that has been up for sale for a more extended period will give you a negotiation advantage over the seller.
8. Remind The Seller Of Their Obligation To Disclose
The disclosure obligation gives crucial information about the home’s condition to the buyer. The reason why it’s vital is that any potential home buyer will have as many details as possible about the property before deciding whether to buy it or not.
The disclosure also reminds the homeowner to be open about the condition of the property. If you send the inspection report to the seller, remind them that they will have to update their Seller’s Disclosure to include the information that was provided and show it to all potential buyers.
9. Make Sure that You didn’t Check “as is” on the contract
An “as is” contract is where the buyer accepts to buy the property in its current condition.
The seller sells the home with whatever defects or problems it has, without a warranty. Make sure that you don’t sign the “as is” contract.
It’s highly likely that the seller will not bend on the price. Moreover, there won’t be negotiations on repairs. It will be a “what you see is what you get” purchase.
10. Be Willing to Walk Away
If the seller plays hardball, maybe you should abort buying that home. You either have to accept the property in its “as is” condition or walk away.
It’s easy to get emotional when buying a home, especially when it seems like the perfect fit. Well, sometimes, “perfect fit” just doesn’t cut it, especially when there’s so much to repair, and the seller is not willing to negotiate further.
Walking away will save you a lot of stress in the end.
Here are a few books to check out
Features
- Used Book in Good Condition
Features
- 1086 Full Color Pages w/ Illustrations
Features
| Part Number | 43171-293297 |
| Edition | 2 |
| Language | English |
| Number Of Pages | 416 |
| Publication Date | 2007-05-17T00:00:01Z |
Features
| Part Number | YES3831338 |
| Is Adult Product | |
| Release Date | 2010-09-08T00:00:01Z |
| Edition | 4 |
| Language | English |
| Number Of Pages | 384 |
| Publication Date | 2010-09-08T00:00:01Z |
Conclusion
Who said buying a home is easy? It’s going to be the place where your family feels safe and comfortable.
You don’t need a home that will milk your bank account dry. Use the tips above to negotiate the house price, and if you don’t agree with the seller, walk away.




















